Formelsammlung

Unter dieser Rubrik werde die von mir häufig verwendeten Formeln dargestellt und an Beispielen erläutert.

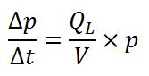
Leckratenformel

allg. Leckratenformel

An innenbefüllbaren Baugruppen kann der Druckverlust mithilfe der Leckratenformel näherungsweise berechnet bzw. ermittelt werden.

Beim Vorhandensein einer Leckage und einer Beaufschlagung des Innenraum der Baugruppe mit negativen (Unterdruck) bzw. positiven (Überdruck) Prüfdruck entsteht ein Druckverlust in einem definierten Zeitraum. Der rechnerisch ermittelte Druckverlust pro Zeiteinheit ist als Näherungswert zu verstehen und muss an der Originalbaugruppe experimentell nachgestellt bzw. geprüft werden.

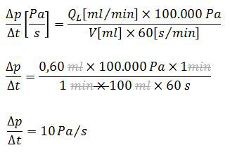
Beispielrechnung 01

Bei der nebenstehenden Beispielrechnung ist der erwartete Druckverlust in 'Pa/s' gesucht. Auf Basis der gegebenen Werte Leckrate (QL= 0,60 ml/min), dem Volumen (V= 100 ml) und des angenommenen Athosphärendruck (p= 100.000 Pa) wird ein Druckabfall von ca. 10 Pa/s erwartet.

 

Der Athosphärendruck wurde hierbei mit einem Durchschnittswert angenommen und liegt unter Normalbedingung (T= 0°C) bei ca. 1013,25 hPa (entspricht 101.325 Pa).

Beispielrechnung 02

In dieser Beispielrechnung wird die zugrunde liegende Leckrate ermittelt.

Die Berechnung basiert auf einem mit einem Prüfgerät gemessenen Druckverlust von ca. 10 Pa/s und einem ermittelten Volumen von ca. 100 ml.

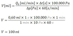
Beispielrechnung 03

Mithilfe dieser Beispielrechnung wird das an ein Prüfgerät angeschlossene und mit Prüfluft beaufschlagte Baugruppenvolumen ermittelt. Basierend auf einer gemessenen Druckverlust von ca. 10 Pa/s und einer definierten Leckrate von ca. 0,60 ml/min kann von einem Baugruppenvolumen von ca. 100 ml ausgegangen werden.

Alle o.a. Beispielrechnungen sind mit fiktiven Werten dargestellt. Jedoch kann mit einem Verwenden von real vorhandenen Daten bzw. Messwerten eine Ermittlung der Näherungswerte durchgeführt werden.

Zur Verifizierung von Volumeninformationen einer Baugruppe sind technischen Zeichnungen zu Hilfe zunehmen.

 

Wie aus den Beispielrechnungen zu erkennen ist gibt es einen direckten Zusammenhang zwischen der Leckrate, dem Prüfvolumen und dem Druckabfall. Nähere Erläuterungen finden Sie unter 'Wissenswertes und Beschreibungen' auf meiner Homepage.

barometrische Höhenformel

Bis zu einer Höhe über den Meeresspiegel bis 100 km glit die neben stehende Formel.

Der Wert 'p(h)' ist der gesuchte Luftdruck in Abhängigkeit der Hhe 'h' über dem Meeresspiegel. Der Wert 'p0' stellt den Normal-Luftdruck (1013,25 hPa) gemäß der DIN 1343 bei einer Temperatur von 0°C dar.

 

Mithilfe dieser barometrischen Höhenformel wurde unter 'Beschreibungen' eine Darstellung der Abhängigkeit aufgeführt.

Hier finden Sie uns

Carsten Bradtke
Händelstr. 20
40724 Hilden
GERMANY

Kontakt

Rufen Sie einfach an unter

+49 160 6024696

oder nutzen Sie unser Kontaktformular.

aktualisiert am : 24.03.2023

Druckversion | Sitemap
© Bradtke(2023)